Custom Oligonucleotide Synthesis
Hoe worden primers gemaakt? (EN)
  |   Home  |   117 views

Samenvatting
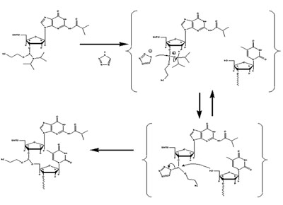
Een uitleg over hoe primers worden gemaakt en dus ook hoe nucleotides aan elkaar gebonden kunnen worden. Dit gebeurt in een aantal stappen: De-blocking, base condenstation, capping en oxidation. Door dit te herhalen kan je je eigen primers genereren.
Doel
informeren

Auteur
Kelsey Holmberg

Doelgroep
hoger onderwijs (studenten), volwassenen

Type
artikel




Materiaal: artikel


Copyright Synenergene 2015-2017